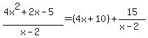
SOLUTION: Which expression gives the remainder when P(x) = 4x2 + 2x – 5 is divided by x – 2?
Algebra
->
Sequences-and-series
-> SOLUTION: Which expression gives the remainder when P(x) = 4x2 + 2x – 5 is divided by x – 2?
Log On
Algebra: Sequences of numbers, series and how to sum them
Section
Solvers
Solvers
Lessons
Lessons
Answers archive
Answers
Click here to see ALL problems on Sequences-and-series
Question 982089
:
Which expression gives the remainder when P(x) = 4x2 + 2x – 5 is
divided by x – 2?
Answer by
Fombitz(32388)
(
Show Source
):
You can
put this solution on YOUR website!