SOLUTION: An exponential sequence is such that the difference between the third term and the first term is 48. The difference between the fourth term and the second term is 144. Find (i) T

Algebra ->  Sequences-and-series -> SOLUTION: An exponential sequence is such that the difference between the third term and the first term is 48. The difference between the fourth term and the second term is 144. Find (i) T      Log On


   



Question 980215: An exponential sequence is such that the difference between the third term and the first term is 48. The difference between the fourth term and the second term is 144. Find
(i) The common ratio
(ii) The first term

Answer by josgarithmetic(39618) About Me  (Show Source):
You can put this solution on YOUR website!
a, a, a^2, a^4.

system%28a%5E2-a=48%2Ca%5E4-a%5E2=144%29

%28a%5E4-a%5E2%29%2F%28a%5E2-a%29=144%2F48

%28%28a%5E2-a%29%28a%5E2%2Ba%29%29%2F%28a%5E2-a%29=3

a%5E2%2Ba=3

a%5E2%2Ba-3=0

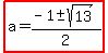
a=%28-1%2B-+sqrt%281%2B4%2A3%29%29%2F2

highlight%28a=%28-1%2B-+sqrt%2813%29%29%2F2%29, first term and also common ratio.