SOLUTION: determine whether each sequence is arithmetic or geometric, find the explicit rule write it in summation notation, and calculate the sum A) 1/4, 1, 4,...16384 B)2,7,12,..,77

Algebra ->  Sequences-and-series -> SOLUTION: determine whether each sequence is arithmetic or geometric, find the explicit rule write it in summation notation, and calculate the sum A) 1/4, 1, 4,...16384 B)2,7,12,..,77      Log On


   



Question 974719: determine whether each sequence is arithmetic or geometric, find the explicit rule write it in summation notation, and calculate the sum
A) 1/4, 1, 4,...16384
B)2,7,12,..,77

Answer by Edwin McCravy(20056) About Me  (Show Source):
You can put this solution on YOUR website!
A sequence in arithmetic if any two pairs of succesive terms have the same common difference.

A sequence in geometric if any two pairs of succesive terms have the same common quotient (or ratio).

A) is geometric because 1÷(1/4) = 1×(4/1) = 4 and 4÷1 = 4 = common ratio = r

The formula for the nth term of a geometric sequence is:

a%5Bn%5D%22%22=%22%22a%5B1%5Dr%5E%28n-1%29 where a%5B1%5D is the first term
and r is the common ratio:

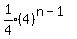
a%5Bn%5D%22%22=%22%22expr%281%2F4%29%2A%284%29%5E%28n-1%29%22%22=%22%224%5E%28-1%29%2A4%5E%28n-1%29%22%22=%22%224%5E%28-1%2Bn-1%29%22%22=%22%224%5E%28n-2%29

So a%5Bn%5D%22%22=%22%224%5E%28n-2%29

------------------

B) is arithmetic because 7-2 = 5 and 12-7 = 5 = common difference = d

The formula for the nth term of an arithmetic sequence is:

a%5Bn%5D%22%22=%22%22a%5B1%5D%2B%28n-1%29d where a%5B1%5D is the first term
and d is the common ratio:

a%5Bn%5D%22%22=%22%222%2B%28n-1%29%285%29%22%22=%22%222%2B5%28n-1%29%22%22=%22%222%2B5n-5%22%22=%22%225n-3

So a%5Bn%5D%22%22=%22%225n-3

Edwin