If an arithmetic mean and a geometric mean are inserted between a and b, such
that the arithmetic mean is double the geometric mean. show that ratio of a and
b is [2+(3)^(1/2)]/[2-(3)^(1/2)]
We change the
powers to square roots
Then we rationalize the denominator:


>>...the arithmetic mean is double the geometric mean...<<


Multiply both sides by 2 to clear the fraction:


Square both sides:








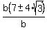
Solve for "a" using the quadratic formula. We will use capital
letters in the quadratic formula to avoid conflict of notation:


where
,
,
















Divide both sides by b






We have shown that the ratio is either
or
.
So you might point out to your teacher that the problem as it is stated here,
is not necessarily true.
The problem should be stated this way:
If an arithmetic mean and a geometric mean are inserted between a and b, such
that the arithmetic mean is double the geometric mean. show that ratio of a and
b is [2+(3)^(1/2)]/[2-(3)^(1/2)] OR [2-(3)^(1/2)]/[2+(3)^(1/2)].
The second one, when the
powers are changed to square roots and its
denominator is rationalized, becomes
.
Edwin