Question 969971: Please help me solve this problem
the sequence is as follows
----- , 3 , 17
What is the first term?
Found 2 solutions by josgarithmetic, KMST: Answer by josgarithmetic(39617) (Show Source): Answer by KMST(5328) (Show Source):
You can put this solution on YOUR website! We need more information than that.
Is there a commonly used pattern to your sequence?
Is 3 the second term, and 17 the third term?
A sequence could have no rhyme or reason, such as
potato , 3 , 7, duck , 1 , chair .
However, in algebra class teachers like sequences made with some sort of pattern.
The sequences with the commonly used patterns are an arithmetic sequence or a geometric sequence.
If it is an arithmetic sequence, then each term is the one before plus a fixed number, .
That number is called the common difference, because it is the difference between any two consecutive terms.
So, term number , ,
is related to the previous term,
term number = ,
by <--->
for all natural number (counting number) values of .
If 3 and 17 are the 2nd and 3rd terms respectively,
then the common difference between consecutive terms is
.
Each term is more than the one before.
, , , and is the first term that we want to find.
From , for , we get
---> --->
so ---> --->
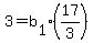
If it is a geometric sequence, then each term is the one before times a fixed number, .
That number is called the common ratio, because it is the ratio between any two consecutive terms.
So, term number , ,
is related to the previous term,
term number = ,
by <--->
for all natural number (counting number) values of .
If 3 and 17 are the 2nd and 3rd terms respectively,
then the common ratio between consecutive terms is
.
Each term is times the one before.
, , , and is the first term that we want to find.
From , for , we get
---> --->
so ---> ---> ---> --->
|
|
|