SOLUTION: Given the sequence in the table below, determine the sigma notation of the sum for term 4 through term 15. n an 1 4 2 −12 3 36

Algebra ->  Sequences-and-series -> SOLUTION: Given the sequence in the table below, determine the sigma notation of the sum for term 4 through term 15. n an 1 4 2 −12 3 36      Log On


   



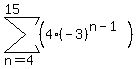
Question 969177: Given the sequence in the table below, determine the sigma notation of the sum for term 4 through term 15.
n an
1 4
2 −12
3 36

Answer by Edwin McCravy(20056) About Me  (Show Source):
You can put this solution on YOUR website!
That's a geometric sequence.

a%5Bn%5D+=+a%5B1%5Dr%5E%28n-1%29 where a%5B1%5D=4 and r=-3

So the nth term is

a%5Bn%5D+=+4%2A%28-3%29%5E%28n-1%29

sum%28%284%2A%28-3%29%5E%28n-1%29%29%2Cn=4%2C15%29

Edwin