SOLUTION: Determine if the infinite geometric series converges or diverges. If the series converges, find its sum: 4- 4/3 + 4/9 - 4/27 +...

Algebra ->  Sequences-and-series -> SOLUTION: Determine if the infinite geometric series converges or diverges. If the series converges, find its sum: 4- 4/3 + 4/9 - 4/27 +...      Log On


   



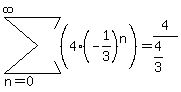
Question 968163: Determine if the infinite geometric series converges or diverges. If the series converges, find its sum:
4- 4/3 + 4/9 - 4/27 +...

Answer by Fombitz(32388) About Me  (Show Source):