Question 967999: Hello,
Does anyone know how I would do this? I'd appreciate your help.
For the following equation of an ellipse determine the center, vertices, and foci:
9x2+4y2+54x−8y+49=0
Answer by lwsshak3(11628) (Show Source):
You can put this solution on YOUR website! For the following equation of an ellipse determine the center, vertices, and foci:
9x2+4y2+54x−8y+49=0
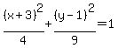
9x^2+54x+4y^2-8y=-49
complete the square:
9(x^2+6x+9)+4(y^2-2y+1)=-49+81+4
9(x+3)^2+4(y-1)^2=36

ellipse has a vertical major axis.
Its standard form of equation: , a>b, (h,k)=coordinates of center
center:(-3, 1)
a^2=9
a=3
vertices= (-3, 1±a)=(3, 1±3)=(3, -2) and (3, 4)
b^2=4
b=2
c^2=a^2-b^2=9-4=5
c=√5≈2.2
foci= (-3, 1±c)=(3, 1±2.2)=(3, -1.2) and (3,3.2)
|
|
|