SOLUTION: I'm so confused. Can someone pretty please help with these? For the following sequences calculate the indicated term: a) an=(-1)^n(3n+2),a5 (first n and the 5 are subscript) b)

Algebra ->  Sequences-and-series -> SOLUTION: I'm so confused. Can someone pretty please help with these? For the following sequences calculate the indicated term: a) an=(-1)^n(3n+2),a5 (first n and the 5 are subscript) b)       Log On


   



Question 967249: I'm so confused. Can someone pretty please help with these?
For the following sequences calculate the indicated term:
a) an=(-1)^n(3n+2),a5 (first n and the 5 are subscript)
b) an=lne^n,a13 (first n and 13 are subscript)
c) a1=1,an+1=2an+1,a4 (the first 1, the n+1 and 4 are subscript)
I really appreciate help on this one!!

Answer by Edwin McCravy(20056) About Me  (Show Source):
You can put this solution on YOUR website!
For the following sequences calculate the indicated term:
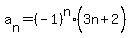
a) a%5Bn%5D=%28-1%29%5En%2A%283n%2B2%29, a%5B5%5D

All you do is substitute 5 for n and simplify

a%5Bn%5D=%28-1%29%5En%2A%283n%5E%22%22%2B2%29
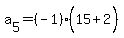
a%5B5%5D=%28-1%29%5E5%283%285%29%5E%22%22%2B2%29
a%5B5%5D=%28-1%29%2815%5E%22%22%2B2%29
a%5B5%5D=%28-1%29%2817%29
a%5B5%5D=-17

b) a%5Bn%5D=ln%28e%5En%29, a%5B13%5D

ln(en) simplifies to just n, so the
problem is only

a%5Bn%5D=n, a%5B13%5D

Just substitute 13 for n and have 

a%5B13%5D=13 





c) a%5B1%5D=1, a%5Bn%2B1%5D=2a%5Bn%5D%2B1, a%5B4%5D 

This is a recursive formula, not a general formula,
like the other two.  

1. You are given a1.
2. You use n=1, a1 and the formula to find a2.
3. You use n=2, a2 and the formula to find a3.
4. You use n=3, a3 and the formula to find a4.

1. a%5B1%5D=1

2. Substitute 1 for n and 1 for a1, and
simplify:

a%5Bn%2B1%5D=2a%5Bn%5D%2B1 
a%5B1%2B1%5D=2a%5B1%5D%2B1
a%5B2%5D=2%281%29%2B1
a%5B2%5D=2%2B1
a%5B2%5D=3

3. Substitute 2 for n and 3 for a2, and
simplify:

a%5Bn%2B1%5D=2a%5Bn%5D%2B1
a%5B2%2B1%5D=2a%5B2%5D%2B1 
a%5B3%5D=2%283%29%2B1
a%5B3%5D=6%2B1
a%5B3%5D=7

4. Substitute 3 for n and 7 for a3, and 
simplify:

a%5Bn%2B1%5D=2a%5Bn%5D%2B1
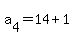
a%5B3%2B1%5D=2a%5B3%5D%2B1 
a%5B4%5D=2%287%29%2B1
a%5B4%5D=14%2B1
a%5B4%5D=15

Edwin