1)The sum of the first 13 terms in arithmetic sequence is 1,475.5
n=13, S13=1475.5
Substitute in the sum formula:
Multiply both sides by 2:
Divide both sides by 13
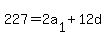
131 is known to be the 8th term. Find the first term and common difference of this sequence?
----
n=8, a8=131
Substitute in the nth term formula:
That gives us a system of two equations in two unknowns:
Solve that system by substitution or elimination and you'll
get the answer. You do that by yourself.
Edwin