SOLUTION: 1,3,25,253,?
Algebra
->
Sequences-and-series
-> SOLUTION: 1,3,25,253,?
Log On
Algebra: Sequences of numbers, series and how to sum them
Section
Solvers
Solvers
Lessons
Lessons
Answers archive
Answers
Click here to see ALL problems on Sequences-and-series
Question 952711
:
1,3,25,253,?
Answer by
Edwin McCravy(20056)
(
Show Source
):
You can
put this solution on YOUR website!
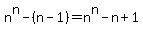
next term
So the nth term is
Edwin