SOLUTION: Determine the x value on this sequence (16,35,x,91) and T1,T5and T2 are not given

Algebra ->  Sequences-and-series -> SOLUTION: Determine the x value on this sequence (16,35,x,91) and T1,T5and T2 are not given      Log On


   



Question 947874: Determine the x value on this sequence (16,35,x,91) and T1,T5and
T2 are not given

Answer by Edwin McCravy(20056) About Me  (Show Source):
You can put this solution on YOUR website!
y,z,16,35,x,91

Assume the general term is quadratic: 

T%5Bn%5D=An%5E2%2BBn%2BC <--general term

Substituting n=3, T3=16

16=A%283%29%5E2%2BB%283%29%2BC
16=9A%2B3B%2BC
9A%2B3B%2BC=16

Substituting n=4, T2=35

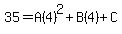
35=A%284%29%5E2%2BB%284%29%2BC
35=16A%2B4B%2BC
16A%2B4B%2BC=35

Substituting n=6, T6=91

91=A%286%29%5E2%2BB%286%29%2BC
91=36A%2B6B%2BC
36A%2B6B%2BC=91

We have the system of equations:

system%289A%2B3B%2BC=16%2C16A%2B4B%2BC=35%2C36A%2B6B%2BC=91%29

Solve that system of equation and get

A=3, B=-2, C=-5

Substitute into our assumed general term:

T%5Bn%5D=An%5E2%2BBn%2BC
T%5Bn%5D=3n%5E2-2n-5

x=T%5B5%5D. Substituting n=5

x=T%5B5%5D=3%285%29%5E2-2%285%29-5
x=T%5B5%5D=3%2825%29-10-5
x=T%5B5%5D=75-15
x=T%5B5%5D=60

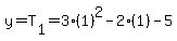
y=T%5B1%5D. Substituting n=1

y=T%5B1%5D=3%281%29%5E2-2%281%29-5
y=T%5B1%5D=3%281%29-2-5
y=T%5B5%5D=3-7
y=T%5B5%5D=-4

z=T%5B2%5D. Substituting n=1

z=T%5B2%5D=3%282%29%5E2-2%282%29-5
z=T%5B2%5D=3%284%29-4-5
z=T%5B5%5D=12-9
z=T%5B5%5D=3


The sequence is -4,3,16,35,60,91,128,171,220,275,336,403,...

Edwin