SOLUTION: H.M between 3+√27 and 3-3√3 is? plz explain Ans is -6

Algebra ->  Sequences-and-series -> SOLUTION: H.M between 3+√27 and 3-3√3 is? plz explain Ans is -6      Log On


   



Question 947109: H.M between 3+√27 and 3-3√3 is? plz explain
Ans is -6

Answer by Fombitz(32388) About Me  (Show Source):
You can put this solution on YOUR website!
HM=2%2F%281%2F%283%2Bsqrt%2827%29%29%2B1%2F%283-3sqrt%283%29%29%29
HM=2%2F%281%2F%283%2B3sqrt%283%29%29%2B1%2F%283-3sqrt%283%29%29%29
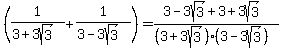
Let's work on the denominator,




%281%2F%283%2B3sqrt%283%29%29%2B1%2F%283-3sqrt%283%29%29%29=%286%29%2F%28-18%29
%281%2F%283%2B3sqrt%283%29%29%2B1%2F%283-3sqrt%283%29%29%29=%281%29%2F%28-3%29
Now substituting into the denominator,
HM=2%2F%28-%281%2F3%29%29
HM=-6