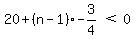
SOLUTION: first negative terrm of the sequence 20,77/4,37/2,71/4
Algebra
->
Sequences-and-series
-> SOLUTION: first negative terrm of the sequence 20,77/4,37/2,71/4
Log On
Algebra: Sequences of numbers, series and how to sum them
Section
Solvers
Solvers
Lessons
Lessons
Answers archive
Answers
Click here to see ALL problems on Sequences-and-series
Question 942410
:
first negative terrm of the sequence 20,77/4,37/2,71/4
Answer by
Edwin McCravy(20059)
(
Show Source
):
You can
put this solution on YOUR website!