SOLUTION: Use mathematical induction to prove that:
n
∑ r^2/{(2r-1)(2r+1)}= n(n+1)/(2(2n+1))
r=1
Thanks!!
Algebra ->
Sequences-and-series
-> SOLUTION: Use mathematical induction to prove that:
n
∑ r^2/{(2r-1)(2r+1)}= n(n+1)/(2(2n+1))
r=1
Thanks!!
Log On
(1) then it would also be true when we replace n by n+1. That is,
we want to show that if (1) holds for some value of n, then we
can erase the ??? below and replace it with an equal sign:
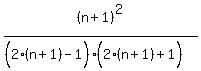
which simplifies to:
(2)
-----------------------
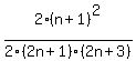
So we add the (n+1)st term to both sides of (1)
and simplify. The left side is just the sum to n+1 terms instead of n
terms:
Get an LCD by multiplying the first fraction on the right by and the second by
Combine numerators over the LCD
Factor out (n+1) on top
Now cancel the (2n+1)'s
That is the same as (2)
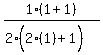
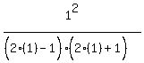
All that's left is to show that (1) is true for n=1
So since it works for n=1, it works for n=2. Then
since it works for n=2, it works for n=3, then for n=4
and so on forever for all values on n.
Edwin