Question 936448: Hello,
We are working on Arithmetic Sequences. I am stuck.
Can someone please help. I need to find a1 and d.
a15 = 129, a8=22(a1)
Thanks.
Found 3 solutions by Fombitz, Edwin McCravy, MathTherapy: Answer by Fombitz(32388) (Show Source): Answer by Edwin McCravy(20056) (Show Source):
You can put this solution on YOUR website!
a15 = 129, a8=22(a1)
, , , , , , , 22, , , , , , ,129
Let d be the common difference. Then since 129 is the 7th term after
22, one would have to add the common difference d seven times to get 129,
ao
22+7d=129
7d=107
d=
d=
Now since 22 is the 7th term before the first term we would have to subtract
this common difference d seven times to get the first term,
so the first term =
First term = -85 and common difference = .
FYI, the whole sequence is:
, , , , , , , , , , , , , ,
Edwin
Answer by MathTherapy(10552) (Show Source):
You can put this solution on YOUR website! Hello,
We are working on Arithmetic Sequences. I am stuck.
Can someone please help. I need to find a1 and d.
a15 = 129, a8=22(a1)
Thanks.
If what you're saying is that: , and , then:
1st term, or , and common difference, or
Since you confirmed that it is in fact: , and , then the solution follows:



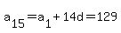
------ Substituting 129 for
------- eq (i)


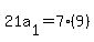
------ Substituting for
------- eq (ii)
21(129 14d) = 7d --------- Substituting 129 14d for in eq (ii)
2,709 294d = 7d
7d + 294d = 2,709
301d = 2,709
d, or common difference = , or
-------- Substituting 9 for d in eq (ii)

1st term, or , or 
You can do the check!!
===================
Send comments, thank-yous, and inquiries to D at MathMadEzy@aol.com.
Further help is available, online or in-person, for a fee, obviously.
For FREE info and answers to questions about the ASVAB exam, the NYS 3 8 city/state wide exams,GENERAL
MATH and HOMEWORK QUESTIONS, or MATH QUESTIONS related to the Regents Integrated Algebra,
Regents Geometry, Regents Algebra 2/Trigonometry, SHSAT, COOP/HSPT/TACHS, PSAT, SAT, ACT, SSAT/ISEE,
GRE, CLEP, and the TASC/GED, you can visit: http://asvabstudyzone.freeforums.net/.
|
|
|