SOLUTION: Find the value of n for which Un has the given value: Un=(n/n+4)(-1)^n where Un= 7/9

Algebra ->  Sequences-and-series -> SOLUTION: Find the value of n for which Un has the given value: Un=(n/n+4)(-1)^n where Un= 7/9      Log On


   



Question 935306: Find the value of n for which Un has the given value:
Un=(n/n+4)(-1)^n where Un= 7/9

Answer by Edwin McCravy(20060) About Me  (Show Source):
You can put this solution on YOUR website!
U%5Bn%5D=%28n%2F%28n%2B4%29%29%28-1%29%5En where U%5Bn%5D=+7%2F9

7%2F9=%28n%2F%28n%2B4%29%29%28-1%29%5En

7%28n%2B4%29=9n%28-1%29%5En

7n%2B28=9n%28-1%29%5En

if n is odd, %28-1%29%5En=-1

7n%2B28=9n%28-1%29

7n%2B28=-9n

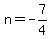
28=-16n

28=-16n

n=28%2F%28-16%29, 

n=-7%2F4, not a non-negative integer, 
so there is no solution for n being odd.

so n must be even, %28-1%29%5En=1

7n%2B28=9n%281%29

7n%2B28=9n

-2n=-28

n=28%2F2

n=14

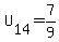
Checking:

U%5Bn%5D=%28n%2F%28n%2B4%29%29%28-1%29%5En

U%5B14%5D=%2814%2F%2814%2B4%29%29%28-1%29%5E14

U%5B14%5D=%2814%2F18%29%281%29

U%5B14%5D=7%2F9

That checks:

Answer: n=14

Edwin