SOLUTION: If a,b,c, are in G.P and a^x=b^y=c^z the x,y,z are in 1)H.P 2)G.P 3)A.P

Algebra ->  Sequences-and-series -> SOLUTION: If a,b,c, are in G.P and a^x=b^y=c^z the x,y,z are in 1)H.P 2)G.P 3)A.P       Log On


   



Question 933335: If a,b,c, are in G.P and a^x=b^y=c^z the x,y,z are in
1)H.P
2)G.P
3)A.P

Answer by Edwin McCravy(20056) About Me  (Show Source):
You can put this solution on YOUR website!
a%5Ex=b%5Ey=c%5Ez

since a,b,c are in GP, their common ratio is b%2Fa.  Therefore c=b%2A%28b%2Fa%29=%28b%5E2%29%2Fa=a%5E%28-1%29b%5E2

a%5Ex=b%5Ey=%28a%5E%28-1%29b%5E2%29%5Ez

Raise all three parts to the 1%2F%28xyz%29 power



Multiply exponents:



(1)   

From the first two expressions of (1)



Raise both sides to the z power

(2)  

From the first and third expressions of (1)



Raise both sides to the y power:

 

Multiply both sides by matrix%282%2C1%2C%22%22%2Ca%5E%281%2Fx%29%29:

(3)  

Square both sides of (2)



Substitute matrix%282%2C1%2C%22%22%2Ca%5E%282%2Fy%29%29 for matrix%282%2C1%2C%22%22%2Cb%5E%282%2Fx%29%29 in (3)   

(3)  

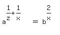
Equate exponents of a in (3)

1%2Fz%2B1%2Fx=2%2Fy

1%2Fz%2B1%2Fx=1%2Fy%2B1%2Fy

1%2Fz-1%2Fy=1%2Fy-1%2Fx+=+matrix%281%2C2%2Ccommon%2Cdifference%29



Therefore

matrix%281%2C8%2C%0D%0A%0D%0Ax%2C++%22%2C%22%2C++y%2C+%22%2C%22%2C++z%2C++are%2C+in%2C+HP%29

Edwin