SOLUTION: Sequence : 7,9,11,13.... Find sigma notation for the sum of the first twenty terms

Algebra ->  Sequences-and-series -> SOLUTION: Sequence : 7,9,11,13.... Find sigma notation for the sum of the first twenty terms       Log On


   



Question 932735: Sequence : 7,9,11,13....
Find sigma notation for the sum of the first twenty terms

Answer by Edwin McCravy(20056) About Me  (Show Source):
You can put this solution on YOUR website!
7,9,11,13....
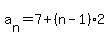
a%5B1%5D=7, d=2

a%5Bn%5D=a%5B1%5D%2B%28n-1%29d

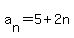
a%5Bn%5D=7%2B%28n-1%292

a%5Bn%5D=7%2B2n-2

a%5Bn%5D=5%2B2n

Find sigma notation for the sum of the first twenty terms

sum%28%285%2B2n%29%2Cn=1%2C20%29

----------------------------

I think that's all you're supposed to do.  We can go further
and evaluate that sum, which you'll probably have next semester:

sum%28%285%29%2Cn=1%2C20%29%22%22%2B%22%22sum%28%282n%29%2Cn=1%2C20%29

5sum%28%281%29%2Cn=1%2C20%29%22%22%2B%22%222sum%28%28n%29%2Cn=1%2C20%29

5%2A20%2B2%2820%2820%2B1%29%29%2F2

100%2B%2820%2A21%29

100%2B420

520

Edwin