SOLUTION: please help me solve the following: determine whether the infinite geometric series converges or diverges. Find its sum 5-5/3+5/9-5/27+... thank you

Algebra ->  Sequences-and-series -> SOLUTION: please help me solve the following: determine whether the infinite geometric series converges or diverges. Find its sum 5-5/3+5/9-5/27+... thank you      Log On


   



Question 929347: please help me solve the following: determine whether the infinite geometric series converges or diverges. Find its sum
5-5/3+5/9-5/27+... thank you

Found 2 solutions by ewatrrr, MathLover1:
Answer by ewatrrr(24785) About Me  (Show Source):
You can put this solution on YOUR website!
{5,-5/3,+5/9,-5/27,... }
r = -1/3
sum%28+a%5Bi%5D%2C+i=1%2C+infinity+%29 = a%5B1%5D%2F%281-r%29+=+5%2F%284%2F3%29 = 15/4

Answer by MathLover1(20850) About Me  (Show Source):
You can put this solution on YOUR website!
The initial term is a%5B0%5D+=+5
The common ration is
5%2Ar=-5%2F3
r=-%285%2F3%29%2F5
r=-5%2F15
r=-1%2F3
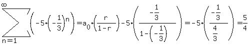
Note: that the common ratio is r+=+-1%2F3, and that
since abs%28r%29+%3C+1 we know that the infinite geometric series converges
This is
so the series converges and has a sum of 5%2F4.