Question 927791: Find the 1st term of the arithmetic sequence with 11th term −1 and 21th term 7.
Found 2 solutions by josgarithmetic, MathTherapy: Answer by josgarithmetic(39618) (Show Source):
You can put this solution on YOUR website! Use the formulas.
d, common difference
n, term index
a, first term .
.
Use this formula and make two linear equations in the variables, a and d.
Answer by MathTherapy(10552) (Show Source):
You can put this solution on YOUR website!
Find the 1st term of the arithmetic sequence with 11th term −1 and 21th term 7.


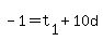
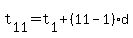
______ ---------- eq (i)



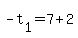
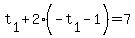
------- eq (ii)
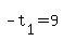
------- Substituting for d in eq (ii)



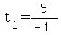
Term 1 or , or
You can do the check!!
===================
Send comments, “thank-yous,” and inquiries to “D” at MathMadEzy@aol.com.
Further help is available, online or in-person, for a fee, obviously.
For FREE info and answers to questions about the ASVAB exam, the NYS 3 – 8 city/state wide exams,GENERAL
MATH and HOMEWORK QUESTIONS, or MATH QUESTIONS related to the Regents Integrated Algebra,
Regents Geometry, Regents Algebra 2/Trigonometry, SHSAT, COOP/HSPT/TACHS, PSAT, SAT, ACT, SSAT/ISEE,
GRE, CLEP, and the TASC/GED, you can visit: http://asvabstudyzone.freeforums.net/.
|
|
|