SOLUTION: a n=1-n Use the given formula to find the first three terms of each sequence. Thanks

Algebra ->  Sequences-and-series -> SOLUTION: a n=1-n Use the given formula to find the first three terms of each sequence. Thanks      Log On


   



Question 925064: a n=1-n
Use the given formula to find the first three terms of each sequence. Thanks

Answer by MathLover1(20850) About Me  (Show Source):
You can put this solution on YOUR website!
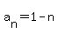
if you are given:
a%5Bn%5D=1%5E%28-n%29+
a%5Bn%5D=1%2F1%5En
if n=0
a%5B0%5D=1%2F1%5E0
a%5B0%5D=1%2F1
a%5B0%5D=1
if n=1
a%5B1%5D=1%2F1%5E1
a%5B1%5D=1%2F1
a%5B1%5D=1

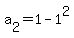
if n=2
a%5B2%5D=1%2F1%5E2
a%5B2%5D=1%2F1
a%5B2%5D=1

but, if you are given:
a%5Bn%5D=1-n+

if n=0
a%5B0%5D=1-1%5E0
a%5B0%5D=1-1
a%5B0%5D=0
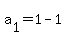
if n=1
a%5B1%5D=1-1%5E1
a%5B1%5D=1-1
a%5B1%5D=0
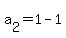
if n=2
a%5B2%5D=1-1%5E2
a%5B2%5D=1-1
a%5B2%5D=0