S=(1/1!)+(3/2!)+(7/3!)+(13/4!)+(21/5!)+(31/6!)+(43/7!)+......
given: (I hope you understand sigma summation notation)


Therefore


--------------------------------------------------------
We need first to find the nth term of the sequence of the numerators,
The sequence of numerators is 1,3,7,13,21,31,43,...
They are all odd. Perhaps if we subtract 1 from each,
we might recognize a pattern,
That would be the sequence 0,2,6,12,20,30,42. Aha! That
pattern is 1*0,2*1,3*2,4*3,5*4,6*5,7*6 so its nth term is n(n-1)
So the nth term of the numerators is 1 more than that, or n(n-1)+1
and
becomes
That has an n(n-1) term on top, and we notice that if n≧2, n! can be written
n(n-1)(n-2)! which has that factor. So let's write out the first term of S,
which is
so we can start the sum at n=2 instead of n=1, so,















(1) 



The first summation in (1) above:
we substitute n-2=k and n=k+2, and it becomes




.
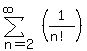
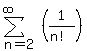
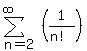
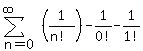
The other summation in (1) above:
is the summation for e except for the first two terms
where n=0 and n=1. Therefore,






Therefore (1) above becomes
(1) 1 + e + e-2 = 2e-1
The correct choice is C.
Edwin