SOLUTION: Here are the first four terms of a number sequence. 6 10 14 18 Write an expression, in terms of n, for the nth term of this sequence.

Algebra ->  Sequences-and-series -> SOLUTION: Here are the first four terms of a number sequence. 6 10 14 18 Write an expression, in terms of n, for the nth term of this sequence.      Log On


   



Question 918173: Here are the first four terms of a number sequence.
6 10 14 18
Write an expression, in terms of n, for the nth term of this sequence.

Answer by ewatrrr(24785) About Me  (Show Source):
You can put this solution on YOUR website!
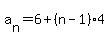
Arithmetic Sequence: d = 4
a%5Bn%5D+=+a%5B1%5D+%2B+%28n-1%29d
a%5Bn%5D+=+6+%2B+%28n-1%294
0r
a%5Bn%5D+=+4n+%2B+2