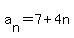
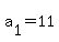
SOLUTION: 400th term of the sequence 11, 15, 19, 23, . . .

Algebra ->  Sequences-and-series -> SOLUTION: 400th term of the sequence 11, 15, 19, 23, . . .       Log On