SOLUTION: find the sum of the first 12 terms of the geometric sequence 2,6.18.54
Algebra
->
Sequences-and-series
-> SOLUTION: find the sum of the first 12 terms of the geometric sequence 2,6.18.54
Log On
Algebra: Sequences of numbers, series and how to sum them
Section
Solvers
Solvers
Lessons
Lessons
Answers archive
Answers
Click here to see ALL problems on Sequences-and-series
Question 905004
:
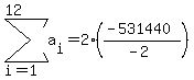
find the sum of the first 12 terms of the geometric sequence 2,6.18.54
Answer by
ewatrrr(24785)
(
Show Source
):
You can
put this solution on YOUR website!
r = 3
= 531,440