SOLUTION: In an arithmetic series, the 'pth' term is q and the 'qth' term is p , find the 'mth' term. Here ismy answer: p+q-m. Am I correct? Please show me the working.

Algebra ->  Sequences-and-series -> SOLUTION: In an arithmetic series, the 'pth' term is q and the 'qth' term is p , find the 'mth' term. Here ismy answer: p+q-m. Am I correct? Please show me the working.      Log On


   



Question 898992: In an arithmetic series, the 'pth' term is q and the 'qth' term is p , find the 'mth' term.
Here ismy answer: p+q-m.
Am I correct? Please show me the working.

Answer by Edwin McCravy(20056) About Me  (Show Source):
You can put this solution on YOUR website!
'pth' term is q and the 'qth' term is p
a%5Bn%5D=a%5B1%5D%2B%28n-1%29d <-- general term

q=a%5Bp%5D=a%5B1%5D%2B%28p-1%29d and p=a%5Bq%5D=a%5B1%5D%2B%28q-1%29d

We solve the system:

system%28a%5B1%5D%2B%28p-1%29d=q%2C+a%5B1%5D%2B%28q-1%29d=p%29

Eliminate a1 by subtracting the equations:

(p-1)d-(q-1)d = q-p

d[(p-1)-(q-1)] = q-p

d[p-1-q+1] = q-p

d(p-q) = q-p

d = %28q-p%29%2F%28p-q%29

d = %28-p%2Bq%29%2F%28p-q%29

d = %28-1%28p-q%29%29%2F%28p-q%29

d = -1

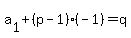
Substitute d = -1

a%5B1%5D%2B%28p-1%29d=q

a%5B1%5D%2B%28p-1%29%28-1%29=q

a%5B1%5D-p%2B1=q

a%5B1%5D=p%2Bq-1

a%5Bn%5D=a%5B1%5D%2B%28n-1%29d <-- general term

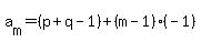
Substitute a1 = p+q-1, d = -1, and n = m

a%5Bm%5D=%28p%2Bq-1%29%2B%28m-1%29%28-1%29

a%5Bm%5D=p%2Bq-1%2B%28-m%2B1%29

a%5Bm%5D=p%2Bq-1-m%2B1

a%5Bm%5D=p%2Bq-m

Edwin