SOLUTION: What is 12/15th divided by 1/7th
Algebra
->
Sequences-and-series
-> SOLUTION: What is 12/15th divided by 1/7th
Log On
Algebra: Sequences of numbers, series and how to sum them
Section
Solvers
Solvers
Lessons
Lessons
Answers archive
Answers
Click here to see ALL problems on Sequences-and-series
Question 897734
:
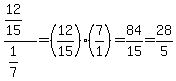
What is 12/15th divided by 1/7th
Answer by
Fombitz(32388)
(
Show Source
):
You can
put this solution on YOUR website!
Dividing by a fraction is equivalent to multiplying by its reciprocal,