SOLUTION: Write the formula of the following sequence: 0, 2, 0, 2, 0, 2,.....
Algebra
->
Sequences-and-series
-> SOLUTION: Write the formula of the following sequence: 0, 2, 0, 2, 0, 2,.....
Log On
Algebra: Sequences of numbers, series and how to sum them
Section
Solvers
Solvers
Lessons
Lessons
Answers archive
Answers
Click here to see ALL problems on Sequences-and-series
Question 884389
:
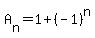
Write the formula of the following sequence:
0, 2, 0, 2, 0, 2,.....
Answer by
Fombitz(32388)
(
Show Source
):
You can
put this solution on YOUR website!