SOLUTION: What is the supplement of the sequence of the following nrs. 20.02 18.04 16.06
Algebra
->
Sequences-and-series
-> SOLUTION: What is the supplement of the sequence of the following nrs. 20.02 18.04 16.06
Log On
Algebra: Sequences of numbers, series and how to sum them
Section
Solvers
Solvers
Lessons
Lessons
Answers archive
Answers
Click here to see ALL problems on Sequences-and-series
Question 884206
:
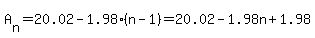
What is the supplement of the sequence of the following nrs. 20.02 18.04 16.06
Answer by
Fombitz(32388)
(
Show Source
):
You can
put this solution on YOUR website!
It looks like each successive number you subtract 2 and add 0.02 or subtract 1.98
Now you can generate any term in the sequence.