Question 870537: Write the first six terms of each of the sequences whose nth term is
(-1)^n(n)
(100)(-1/2)^n
Answer by KMST(5328) (Show Source):
You can put this solution on YOUR website! I am interpreting the first sequence to be and not .
There is probably a name for a sequence like that, but I am not interested in learning and memorizing one more special name
There are two factors in : and .
is an arithmetic sequence, with each term being the one before plus .
is a peculiar geometric sequence:




and so on, alternating between and ,
all the even exponent powers being ,
and all the odd number exponent powers being .
So the first ten terms of the sequence are



and it goes on with ,
, , , , , and .
The sequence , on the other hand,
is a geometric sequence, because each term is the term before times ,
and we can multiply times by
multiplying times and dividing by 
Multiplying times means changing the + or - sign in front of a number.
(and multiplying times is the same as dividing by .
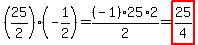
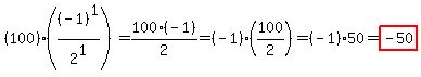
is the first term.
is the second term.
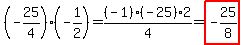
is the second term.
is the fourth term.
is the fifth term.
We keep changing sign and multiplying the denominator times to get each next term and have
, , , , and .
|
|
|