The sum of first 12 terms of an A.P. is 28 and the sum of its first 28 terms is 12 ; find the sum of its first 40 terms.ans is
-40..but how it solve??plz help...
With
, and n = 12, the sum of an A.P. formula:
becomes:

---------- Multiplying by LCD, 3
With
, and n = 28, the sum of an A.P. formula:
becomes:

---------- Multiplying by LCD, 7
--------- eq (i)
-------- eq (ii)
------- Multiplying eq (i) by 7 ------ eq (iii)
---- Multiplying eq (ii) by – 3 ----- eq (iv)
- 336d = 80 ---------- Adding eqs (iv) & (iii)
d, or common difference =
, or
------- Substituting
for d in eq (i)


------ Multiplying by LCD, 7


, or





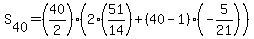
Sum of the 1st 40 terms, or
, or 
You can do the check!!
Send comments, “thank-yous,” and inquiries to “D” at MathMadEzy@aol.com.
Further help is available, online or in-person, for a fee, obviously.