SOLUTION: use mathematical induction to prove that {{{(1^2)+(2^2)+(3^2)}}}+...+{{{(2^n)=n^(k+1) -2}}}

Algebra ->  Sequences-and-series -> SOLUTION: use mathematical induction to prove that {{{(1^2)+(2^2)+(3^2)}}}+...+{{{(2^n)=n^(k+1) -2}}}      Log On


   



Question 860335: use mathematical induction to prove that %281%5E2%29%2B%282%5E2%29%2B%283%5E2%29+...+%282%5En%29=n%5E%28k%2B1%29+-2
Answer by KMST(5328) About Me  (Show Source):
You can put this solution on YOUR website!
You want to prove that
2%5E1%2B2%5E2%2B2%5E3%2B%22...%22%2B2%5En=2%5E%28n%2B1%29-2
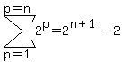
or, using fancier symbols, that
sum%282%5Ep%2Cp=1%2Cp=n%29=2%5E%28n%2B1%29-2 .
You need to prove that
a) it is true for n=1 , and
b) if it is true for n=k , then it will be true for n=k%2B1 .

For n=1 the "sum" has only one term:
sum%282%5Ep%2Cp=1%2Cp=n%29=sum%282%5Ep%2Cp=1%2Cp=1%29=2%5E1=2
and it is indeed equal to
2%5E%28n%2B1%29-2=2%5E%281%2B1%29-2=2%5E2-2=4-2=2

If the formula 2%5E1%2B2%5E2%2B2%5E3%2B%22...%22%2B2%5En=2%5E%28n%2B1%29-2 is true for n=k ,
2%5E1%2B2%5E2%2B2%5E3%2B%22...%22%2B2%5Ek=2%5E%28k%2B1%29-2 .
Adding one more term, we find
,
which shows that the formula is true for n=k%2B1 .