SOLUTION: Given the functions f(n)=500 and g(n)= (9/10)^n-1, combine them to create a geometric sequence, an, and solve for the 11th term

Algebra ->  Sequences-and-series -> SOLUTION: Given the functions f(n)=500 and g(n)= (9/10)^n-1, combine them to create a geometric sequence, an, and solve for the 11th term      Log On


   



Question 854793: Given the functions f(n)=500 and g(n)= (9/10)^n-1, combine them to create a geometric sequence, an, and solve for the 11th term
Answer by ewatrrr(24785) About Me  (Show Source):
You can put this solution on YOUR website!
 
Hi,
f(n)•(g(n) = 500(9/10)^(n-1)
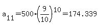
a%5Bn%5D+=+a%5B1%5D%2Ar%5E%28n-1%29
a%5B11%5D+=500%289%2F10%29%5E10+=+174.339+ rounded to three decimal points