SOLUTION: if the 2nd and 5th term of a G.P are -6 and 48 respectively,find the sum pf the first four term

Algebra ->  Sequences-and-series -> SOLUTION: if the 2nd and 5th term of a G.P are -6 and 48 respectively,find the sum pf the first four term      Log On


   



Question 850886: if the 2nd and 5th term of a G.P are -6 and 48 respectively,find the sum pf the first four term
Answer by ewatrrr(24785) About Me  (Show Source):
You can put this solution on YOUR website!
 
Hi,
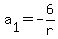
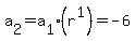
a%5B2%5D+=+a%5B1%5D%28r%5E1%29+=+-6 a%5B1%5D+=+-6%2Fr
a%5B5%5D+=+%28-6%2Fr%29%28r%5E4%29+=+48 r%5E3+=+-8 r = -2 , a%5B1%5D+=+3%0D%0A++%7B%7B%7BS%5Bn%5D=+a%5B1%5D%28%281-r%5En%29%2F%281-r%29%29
S%5B4%5D=+3%28%281-%28-2%29%5E4%29%2F%283%29%29=+-15+
CHECKING our answer***
3 + -6 + 12 + -24 = -15
Wish You the Best in your Studies.