SOLUTION: Evaluate each series using sum formulas. 3 + 6 + 12 + 24 + …; n = 8 ie the sum of the 1st eight terms

Algebra ->  Sequences-and-series -> SOLUTION: Evaluate each series using sum formulas. 3 + 6 + 12 + 24 + …; n = 8 ie the sum of the 1st eight terms       Log On


   



Question 849387: Evaluate each series using sum formulas.
3 + 6 + 12 + 24 + …; n = 8 ie the sum of the 1st eight terms

Answer by ewatrrr(24785) About Me  (Show Source):
You can put this solution on YOUR website!
 
Hi,
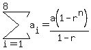
{3 + 6 + 12 + 24 + …} Geometric series r = 2
a%5Bn%5D+=+a%5B1%5D%2Ar%5E%28n-1%29
sum%28+a%5Bi%5D%2C+i=1%2C+8+%29+=+a%281-r%5En%29%2F%281-r%29= 3%281-2%5E8%29%2F%28-1%29 = 765