SOLUTION: USING THE ARITHMETIC SUM FORMULA FIND THE SUM OF 5+7+9+11+...+31
Algebra
->
Sequences-and-series
-> SOLUTION: USING THE ARITHMETIC SUM FORMULA FIND THE SUM OF 5+7+9+11+...+31
Log On
Algebra: Sequences of numbers, series and how to sum them
Section
Solvers
Solvers
Lessons
Lessons
Answers archive
Answers
Click here to see ALL problems on Sequences-and-series
Question 841410
:
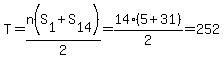
USING THE ARITHMETIC SUM FORMULA FIND THE SUM OF
5+7+9+11+...+31
Answer by
Fombitz(32388)
(
Show Source
):
You can
put this solution on YOUR website!