SOLUTION: The sequence in this problem has a rule that is different from the rules for an addition sequence or a multiplication sequence. What is the missing number in the sequence? 1,4,3

Algebra ->  Sequences-and-series -> SOLUTION: The sequence in this problem has a rule that is different from the rules for an addition sequence or a multiplication sequence. What is the missing number in the sequence? 1,4,3      Log On


   



Question 839135: The sequence in this problem has a rule that is different from the rules for an addition sequence or a multiplication sequence. What is the missing number in the sequence?
1,4,3,6,5,8, ____?

Answer by Edwin McCravy(20056) About Me  (Show Source):
You can put this solution on YOUR website!
1,4,3,6,5,8, ____?

Notice that the odd terms are 1,_,3,_,5,_
(and that the even terms are   _,4,_,6,_,8)

The odd terms are the same as the odd terms of the sequence 

1,2,3,4,5,6,... which has general term n

Subtracting this sequence term by term from the given sequence:

 {1,4,3,6,5,8,...
-{1,2,3,4,5,6,...
---------------
  0,2,0,2,0,2,...

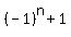
That sequence of differences has general term 1%2B%28-1%29%5En

Since the opposite of the above subtraction is this addition:

 {1,2,3,4,5,6,...  which has general term n
+{0,2,0,2,0,2,...  which has general term %28-1%29%5En%2B1, so
---------------
  1,4,3,6,5,8,...  

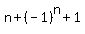
the given sequence has the general term n%2B%28-1%29%5En%2B1. It goes:

1,4,3,6,5,8,7,10,9,12,11,14,13,...

----------------------------------------
Note:
You could also look at the given sequence as this sequence but
without the first term 2:

2,1,4,3,6,5,8,7,10,9,12,11,14,13,

You start with the sequence 

1,2,3,4,5,6,7,8,9,10,11,12,13,14,...

and swap every odd number with the next higher even number. 
But your sequence doesn't have the 2 as its first term, but 
starts with the 1 instead.

Edwin