SOLUTION: the geometric sequence of numbers 1, 1/2, 1/4, 1/8,…to find the following: What is r, the ratio between 2 consecutive terms?

Algebra ->  Sequences-and-series -> SOLUTION: the geometric sequence of numbers 1, 1/2, 1/4, 1/8,…to find the following: What is r, the ratio between 2 consecutive terms?       Log On


   



Question 83909: the geometric sequence of numbers 1, 1/2, 1/4, 1/8,…to find the following:
What is r, the ratio between 2 consecutive terms?

Answer by jim_thompson5910(35256) About Me  (Show Source):
You can put this solution on YOUR website!
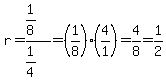
r=nth_term%2Fprevious_term

r=%281%2F8%29%2F%281%2F4%29=%281%2F8%29%284%2F1%29=4%2F8=1%2F2

So the ratio is 1%2F2