SOLUTION: (4/1.2.3)+(5/2.3.4)+(6/3.4.5)+....... find the sum up to nth term.

Algebra ->  Sequences-and-series -> SOLUTION: (4/1.2.3)+(5/2.3.4)+(6/3.4.5)+....... find the sum up to nth term.      Log On


   



Question 836133: (4/1.2.3)+(5/2.3.4)+(6/3.4.5)+.......
find the sum up to nth term.

Answer by Edwin McCravy(20056) About Me  (Show Source):
You can put this solution on YOUR website!

The series is

sum%28%28k%2B3%29%2F%28k%28k%2B1%29%28k%2B2%29%29%2Ck=1%2Cn%29%22%22=%22%22sum%28k%2F%28k%28k%2B1%29%28k%2B2%29%29%2Ck=1%2Cn%29%22%22%2B%22%22sum%283%2F%28k%28k%2B1%29%28k%2B2%29%29%2Ck=1%2Cn%29%22%22=%22%22

sum%281%2F%28%28k%2B1%29%28k%2B2%29%29%2Ck=1%2Cn%29%22%22%2B%22%223sum%281%2F%28k%28k%2B1%29%28k%2B2%29%29%2Ck=1%2Cn%29

Let A(n) = sum%281%2F%28%28k%2B1%29%28k%2B2%29%29%2Ck=1%2Cn%29 and B(n) = sum%281%2F%28k%28k%2B1%29%28k%2B2%29%29%2Ck=1%2Cn%29

Then we seek to find A(n) + 3·B(n) 

We find summation A(n)

By the method of partial fractions:

1%2F%28%28k%2B1%29%28k%2B2%29%29 = 1%2F%28k%2B1%29-1%2F%28k%2B2%29

A(n) = sum%281%2F%28%28k%2B1%29%28k%2B2%29%29%2Ck=1%2Cn%29%22%22=%22%22sum%28%281%2F%28k%2B1%29-1%2F%28k%2B2%29%29%2Ck=1%2Cn%29%22%22=%22%22
%22%22=%22%221%2F2-1%2F%28n%2B2%29

Now we find B(n):

Also by the method of partial fractions:

1%2F%28k%28k%2B1%29%28k%2B2%29%29%22%22=%22%22%281%2F2%29%2Fk-1%2F%28k%2B1%29%2B%281%2F2%29%2F%28k%2B2%29%22%22=%22%22expr%281%2F2%29%281%2Fk-2%2F%28k%2B1%29%2B1%2F%28k%2B2%29%29%22%22=%22%22

expr%281%2F2%29%281%2Fk-1%2F%28k%2B1%29-1%2F%28k%2B1%29%2B1%2F%28k%2B2%29%29%22%22=%22%22expr%281%2F2%29%28%281%2Fk-1%2F%28k%2B1%29%29-%281%2F%28k%2B1%29-1%2F%28k%2B2%29%29%29, so

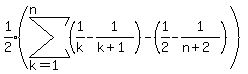
B(n) = sum%281%2F%28k%28k%2B1%29%28k%2B2%29%29%2Ck=1%2Cn%29%22%22=%22%22%22%22=%22%22

%22%22=%22%22

(Since that last sum is A(n) or 1%2F2-1%2F%28n%2B2%29

%22%22=%22%22

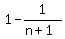
And since sum%28+%281%2Fk-1%2F%28k%2B1%29%29%2Ck=1%2Cn%29 = 1%2F1-1%2F2%2B1%2F2-1%2F3%2B%22...%22%2B1%2F%28n-1%29-1%2Fn%2B1%2Fn-1%2F%28n%2B1%29%22%22=%22%221-1%2F%28n%2B1%29

B(n) = expr%281%2F2%29%281-1%2F%28n%2B1%29-%281%2F2-1%2F%28n%2B2%29%29%29%22%22=%22%22expr%281%2F2%29%281-1%2F%28n%2B1%29-1%2F2%2B1%2F%28n%2B2%29%29%22%22=%22%22expr%281%2F2%29%281%2F2-1%2F%28n%2B1%29%2B1%2F%28n%2B2%29%29%22%22=%22%22expr%281%2F2%29%281%2F2-1%2F%28n%2B1%29%2B1%2F%28n%2B2%29%29%22%22=%22%22

So:

sum%28%28k%2B3%29%2F%28k%28k%2B1%29%28k%2B2%29%29%2Ck=1%2Cn%29%22%22=%22%22A(n)+3B(n)%22%22=%22%221%2F2-1%2F%28n%2B2%29%2Bexpr%283%2F2%29%281%2F2-1%2F%28n%2B1%29%2B1%2F%28n%2B2%29%29

Getting LCDs, combining terms and factoring, the sum becomes:

sum%28%28k%2B3%29%2F%28k%28k%2B1%29%28k%2B2%29%29%2Ck=1%2Cn%29%22%22=%22%22%28n%2A%285n%2B11%29%29%2F%284%28n%2B1%29%28n%2B2%29%29

Edwin