Question 828528: Which term of an Arithemitc sequence 3,15,27,.......... Will be 132 more than it's 51 term
Answer by KMST(5328) (Show Source):
You can put this solution on YOUR website! MENTAL MATH ANSWER FOR MULTIPLE CHOICE TEST:
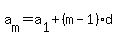
and so the common difference is .
Starting from the 51st term, to get to the next (52nd) term you have to add once.
If you add two times you get to the 53rd term, the term that's 2 terms after the 51st term.
132 ÷ 12 = 11 <---> ,
so adding 132 to the 51st term is adding 12 to the 51st 11 times,
and that gets you the value of the the term number
.
FANCY "SHOW YOUR WORK ANSWER":
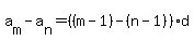
, , , find 
















ONE EXPECTED "SHOW YOUR WORK ANSWER":
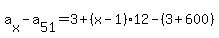
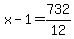
, , , find 















Notice that this answer included harder and unnecessary calculations.
If you like numbers better than symbols you can more unnecessary calculations, as in the solution below.
ARITHMETIC-LOVER SOLUTION:
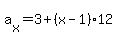
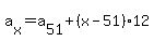
, , , find 









|
|
|