SOLUTION: Find s10 for a geometric series with first term 10 and common ratio 4.
Algebra
->
Sequences-and-series
-> SOLUTION: Find s10 for a geometric series with first term 10 and common ratio 4.
Log On
Algebra: Sequences of numbers, series and how to sum them
Section
Solvers
Solvers
Lessons
Lessons
Answers archive
Answers
Click here to see ALL problems on Sequences-and-series
Question 828112
:
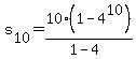
Find s10 for a geometric series with first term 10 and common ratio 4.
Answer by
josgarithmetic(39618)
(
Show Source
):
You can
put this solution on YOUR website!
The required variables are given. Just use the known formula.