a geometric sequence has a sixth term of 24 and a common ratio of 2/3. find the first three terms
GP formula: 
___Substituting 6 for n, and
for r
_____Substituting 24 for 

÷


, or
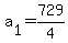
The first term, or
(182.25), and the common ratio, or r (
), should be substituted into the GP formula,
to determine the 2nd term (
), and 3rd term (
).
You'll then have all 3 terms.
You can do the check!!
Send comments, “thank-yous,” and inquiries to “D” at MathMadEzy@aol.com.
Further help is available, online or in-person, for a fee, obviously.
For FREE info and answers to questions about the ASVAB exam, the NYS 3 – 8 city/state wide exams,
GENERAL MATH QUESTIONS, MATH HOMEWORK QUESTIONS, or MATH QUESTIONS related to the Regents Integrated Algebra,
Regents Geometry, Regents Algebra 2/Trigonometry, SHSAT, COOP/HSPT/TACHS, PSAT, SAT, ACT, SSAT/ISEE, GRE, CLEP,
and the GED, you can visit: http://asvabstudyzone.freeforums.net/.