SOLUTION: 11. In a geometric sequence the sum of the 2nd and 3rd terms is 12 and the sum of the 3rd and 4th terms is 60. Find the common ratio and the first term.

Algebra ->  Sequences-and-series -> SOLUTION: 11. In a geometric sequence the sum of the 2nd and 3rd terms is 12 and the sum of the 3rd and 4th terms is 60. Find the common ratio and the first term.      Log On


   



Question 822117: 11. In a geometric sequence the sum of the 2nd and 3rd terms is 12 and the sum of the 3rd and 4th terms is 60. Find the common ratio and the first term.
Answer by ewatrrr(24785) About Me  (Show Source):
You can put this solution on YOUR website!
 
Hi,
In a geometric sequence the sum of the 2nd and 3rd terms is 12
and the sum of the 3rd and 4th terms is 60.
Geometric sequence
+a%5Bn%5D+=+a%5B1%5Dr%5E%28n+-+1%29
+a%5B2%5D+=+a%5B1%5Dr
+a%5B3%5D+=+a%5B1%5Dr%5E%282%29++
+a%5B4%5D+=+a%5B1%5Dr%5E%283%29 a%5B1%5Dr%5E2%281-r%29+=+60
Question states***
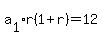
++a%5B1%5Dr+%2B+a%5B1%5Dr%5E%282%29=+12+ 0r a%5B1%5Dr%281%2Br%29+=+12
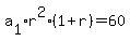
++a%5B1%5Dr%5E2+%2B+a%5B1%5Dr%5E%283%29=+60+ 0r a%5B1%5Dr%5E2%281%2Br%29+=+60
+%2812%2Fr%29r%5E2+=+60
r = 5 and a%5B1%5D+=+12%2F30+=+2%2F5
CHECKING our answer***
2 + (2/5)25 = 12