SOLUTION: 10/3, 5/3, 5/6 is a G.P. Find the 8th term and sum of the first 10 terms
Algebra
->
Sequences-and-series
-> SOLUTION: 10/3, 5/3, 5/6 is a G.P. Find the 8th term and sum of the first 10 terms
Log On
Algebra: Sequences of numbers, series and how to sum them
Section
Solvers
Solvers
Lessons
Lessons
Answers archive
Answers
Click here to see ALL problems on Sequences-and-series
Question 816194
:
10/3, 5/3, 5/6 is a G.P. Find the 8th term and sum of the first 10 terms
Answer by
ewatrrr(24785)
(
Show Source
):
You can
put this solution on YOUR website!
Hi,
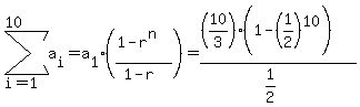
10/3, 5/3, 5/6 is a G.P. r = 1/2
Find the 8th term and sum of the first 10 terms
= 426 2/3