SOLUTION: How do you write an expression for a general term of the following sequence? 2,1,3,0,4,-1,5,...
Algebra
->
Sequences-and-series
-> SOLUTION: How do you write an expression for a general term of the following sequence? 2,1,3,0,4,-1,5,...
Log On
Algebra: Sequences of numbers, series and how to sum them
Section
Solvers
Solvers
Lessons
Lessons
Answers archive
Answers
Click here to see ALL problems on Sequences-and-series
Question 802483
:
How do you write an expression for a general term of the following sequence?
2,1,3,0,4,-1,5,...
Answer by
tommyt3rd(5050)
(
Show Source
):
You can
put this solution on YOUR website!
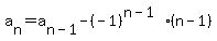
2 -1
1 +2
3 -3
0 +4
4 -5
-1 +6
5
so that