SOLUTION: Find the sum of the infinite series 1/(1 × 3 × 5)+1/(3 × 5 × 7)+1/(5 × 7 × 9)+1/(7 × 9 × 11)+ .......
Algebra
->
Sequences-and-series
-> SOLUTION: Find the sum of the infinite series 1/(1 × 3 × 5)+1/(3 × 5 × 7)+1/(5 × 7 × 9)+1/(7 × 9 × 11)+ .......
Log On
Algebra: Sequences of numbers, series and how to sum them
Section
Solvers
Solvers
Lessons
Lessons
Answers archive
Answers
Click here to see ALL problems on Sequences-and-series
Question 780889
:
Find the sum of the infinite series
1/(1 × 3 × 5)+1/(3 × 5 × 7)+1/(5 × 7 × 9)+1/(7 × 9 × 11)+ .......
Answer by
psbhowmick(878)
(
Show Source
):
You can
put this solution on YOUR website!
The series is:
+ ...
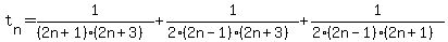
The n-th term of the series is given by
The sum of the given series up to infinity is given by
I have given you the clue. From here see if you can use your brain and proceed...