SOLUTION: if a,b,c are three distinct real numbers in geometric progression and a+b+c=xb then prove that x is greater than3 or less than -1
Algebra ->
Sequences-and-series
-> SOLUTION: if a,b,c are three distinct real numbers in geometric progression and a+b+c=xb then prove that x is greater than3 or less than -1
Log On
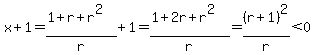
You can put this solution on YOUR website! The three numbers are in geometric progression, sp <--> and <-->
with = common ratio of the progression.
Since a,b,c are three distinct numbers, and