SOLUTION: in the sequence (1),(2,3),(4,5,6)................. the sum of the elements of the 50 th element with solution

Algebra ->  Sequences-and-series -> SOLUTION: in the sequence (1),(2,3),(4,5,6)................. the sum of the elements of the 50 th element with solution       Log On


   



Question 762695: in the sequence (1),(2,3),(4,5,6)................. the sum of the elements of the 50 th element with solution
Answer by ramkikk66(644) About Me  (Show Source):
You can put this solution on YOUR website!
It is clear that the 50th element will have 50 numbers which are sequential. If we know the 1st number, we can find the rest.
What will be the 1st number.
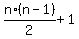
From the 1st few terms, we can see that the the 1st number in the nth element is given by the formula n%2A%28n-1%29%2F2+%2B1
See the pattern emerging below.
1st element, 1st number is 1*0/2 + 1 = 1
2nd element, 1st number is 2*1/2 + 1 = 2
3rd element, 1st number is 3*2/2 + 1 = 4
4th element, 1st number is 4*3/2 + 1 = 7
(Another way of looking at it is:
Write the elements in different rows, as shown below.
1
2 3
4 5 6
7 8 9 10 etc.
The first number in every row is always 1 more the last number in the previous row. And the last number in every row is nothing but the sum of 1+2+3... to n where n is the row number. This is because the number of numbers in each row increases in arithmetic progression with difference of 1. So the total for n-1 rows = (n-1)*n/2, which will be the last number in the (n-1)th row. Hence the first number in the nth row (element) would be n*(n-1)/2 + 1)

So the 1st number in the 50th element is 50*49/2 + 1 = 1226
Number of numbers in the 50th element = 50 - starting from 1226 as 1226, 1227 etc.
So the 50th number would be 1226+50-1=1275.
So the 50 elements has the numbers 1226 to 1275 in arithmetic progression.
Sum of the n numbers in such a progression is given by the formula n*(first number + last number)/2
So the sum here is 50%2A%281226%2B1275%29%2F2+=+62525
Answer: highlight%2862525%29
:)