SOLUTION: in g p if sum of first two digits is 7 and sum of first 6 digits is 91 then what is the sum of first 4 digits

Algebra ->  Sequences-and-series -> SOLUTION: in g p if sum of first two digits is 7 and sum of first 6 digits is 91 then what is the sum of first 4 digits       Log On


   



Question 757173: in g p if sum of first two digits is 7 and sum of first 6 digits is 91 then what is the sum of first 4 digits

Answer by josgarithmetic(39618) About Me  (Show Source):
You can put this solution on YOUR website!
You must mean "numbers" and not "digits".

Geometric Progression: a, ar, ar^2, ar^3,...

a%2Bar=7 and a%2Bar%2Bar%5E2%2Bar%5E3%2Bar%5E4%2Bar%5E5=91
What is a%2Bar%2Bar%5E2%2Bar%5E3 ?

91 is perfectly divisible by 7, and their corresponding polynomial expressions are also well-dividible.

What happens?
%28a%2Bar%2Bar%5E2%2Bar%5E3%2Bar%5E4%2Bar%5E5%29%2F%28a%2Bar%29=91%2F7
%28r%5E5%2Br%5E4%2Br%5E3%2Br%5E2%2Br%2B1%29%2F%28r%2B1%29=13
.
.
Perform your division and find:
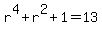
r%5E4%2Br%5E2%2B1=13
from which
r%5E4%2Br%5E2-12=0 which IS factorable.
highlight%28%28r%5E2-3%29%28r%5E2%2B4%29=0%29

We want REAL solutions for r, not complex with imaginaries. Focus on r%5E2-3.
r%5E2=3
r=%2B-+sqrt%283%29

Further steps from this and using the given a+ar=7 give that:
for r=sqrt%283%29, a=%287%2Asqrt%283%29-7%29%2F2
or
for r=-sqrt%283%29, a=-%287%2B7%2Asqrt%283%29%29%2F2

Take your pick and form your sum to four terms and find what that sum is. Just some messy steps to keep track.
(do not be mislead from the abbreviated work shown here. More details went onto paper and I spent about 35 minutes to 45 minutes doing the steps and also typing this text-based posted solution. )